| 일 | 월 | 화 | 수 | 목 | 금 | 토 |
|---|---|---|---|---|---|---|
| 1 | 2 | 3 | 4 | |||
| 5 | 6 | 7 | 8 | 9 | 10 | 11 |
| 12 | 13 | 14 | 15 | 16 | 17 | 18 |
| 19 | 20 | 21 | 22 | 23 | 24 | 25 |
| 26 | 27 | 28 | 29 | 30 |
Tags
- 충남 천안
- 무료 동영상 강의
- C++
- 동영상 강의
- 언제나 휴일
- 클래스 다이어그램
- c#
- 알고리즘
- 동영상
- 프로젝트
- 네트워크 프로그래밍
- 졸업 작품 소재
- 추천
- 언제나휴일
- 독립기념관
- 소스 코드
- c언어
- 파이썬
- 실습
- 안드로이드 앱 개발
- 원격 제어 프로그램
- 표준 라이브러리 함수
- 표준 입출력
- 실습으로 다지는 c#
- 유튜브 동영상 강의
- 강의
- 소켓 통신
- 산책하기 좋은 곳
- Windows Forms
- 캡슐화
Archives
- Today
- Total
프로그래밍 언어 및 기술 [언제나휴일]
[C++] 61. 클래스 간의 관계 본문
이번에는 프로그래밍할 때 개발자가 정의하는 형식과 형식 사이에 관계를 알아보기로 합시다. 여기에서는 UML에서의 클래스 다이어그램에 표현할 수 있는 관계를 기준으로 표현할게요.
UML에서 클래스 사이의 관계는 7 가지로 표현할 수 있습니다.
일반화(Generalization) 관계: “피아니스트는 음악가이다.”

집합(Aggregation) 관계: “필통은 연필들과 지우개 등을 보관할 수 있다.”

구성(Composition) 관계: “사람은 눈과 귀 등을 가지고 태어난다.”

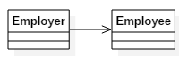
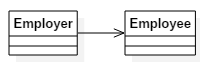
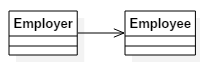
직접 연관(Directed Association) 관계: “고용주는 피고용주에게 일을 시킨다.”

연관(Association) 관계: “의사와 약사는 환자 치료에 상호 연관이 있다.”

의존(Dependency) 관계: “회원 컨트롤은 회원 데이터가 바뀌면 화면에 표시 내용을 변경한다.”
“제품은 공장에서 생성할 수 있다.”

실현(Realization) 관계: “학생은 공부할 수 있다.”

실현 관계는 다음처럼 표현하기도 합니다.

'C & C++ > 디딤돌 C++' 카테고리의 다른 글
| [C++] 65. 연관(ASSOCIATION) 관계 (0) | 2024.04.13 |
|---|---|
| [C++] 64. 직접 연관(DIRECTED ASSOCIATION) 관계 (0) | 2024.04.13 |
| [C++] 63. 구성(COMPOSITION) 관계 (0) | 2024.04.13 |
| [C++] 62. 집합(AGGREGATION) 관계 (0) | 2024.04.13 |
| [C++] 60. 템플릿 클래스 (0) | 2024.04.11 |
| [C++] 58. 템플릿(TEMPLATE) 개요 59. 전역 템플릿 함수 (0) | 2024.04.11 |
| [C++] 57. 예외 처리 (0) | 2024.04.11 |
| [C++] 54. 개체 출력자 (0) | 2024.04.10 |